What Is The Ph Of Sodium Formate . c2hcl3(oh)2 + naoh → chcl3 + hcoona + h2o. a standard buffer formula using sodium formate involves mixing it with formic acid (hcooh), resulting in a buffer. Sodium formate has a molecular weight of 68 g/mol. Physical and chemical properties of sodium formate property Physical properties of sodium formate: some key properties of sodium formate include its hygroscopic nature, alkaline ph, and ability to act as a reducing agent in chemical reactions. sodium formate is commonly known as formic acid is widely used in the.
from www.researchgate.net
Physical properties of sodium formate: Physical and chemical properties of sodium formate property some key properties of sodium formate include its hygroscopic nature, alkaline ph, and ability to act as a reducing agent in chemical reactions. c2hcl3(oh)2 + naoh → chcl3 + hcoona + h2o. a standard buffer formula using sodium formate involves mixing it with formic acid (hcooh), resulting in a buffer. sodium formate is commonly known as formic acid is widely used in the. Sodium formate has a molecular weight of 68 g/mol.
The measured pH values of different sodium carbonate and sodium
What Is The Ph Of Sodium Formate a standard buffer formula using sodium formate involves mixing it with formic acid (hcooh), resulting in a buffer. a standard buffer formula using sodium formate involves mixing it with formic acid (hcooh), resulting in a buffer. Sodium formate has a molecular weight of 68 g/mol. Physical properties of sodium formate: sodium formate is commonly known as formic acid is widely used in the. some key properties of sodium formate include its hygroscopic nature, alkaline ph, and ability to act as a reducing agent in chemical reactions. Physical and chemical properties of sodium formate property c2hcl3(oh)2 + naoh → chcl3 + hcoona + h2o.
From www.napc.ir
Sodium formate Nakhl Asmari Group What Is The Ph Of Sodium Formate c2hcl3(oh)2 + naoh → chcl3 + hcoona + h2o. Physical and chemical properties of sodium formate property Sodium formate has a molecular weight of 68 g/mol. a standard buffer formula using sodium formate involves mixing it with formic acid (hcooh), resulting in a buffer. sodium formate is commonly known as formic acid is widely used in the.. What Is The Ph Of Sodium Formate.
From www.chemicals.co.uk
Sodium Formate UK Suppliers The Chemistry Blog What Is The Ph Of Sodium Formate sodium formate is commonly known as formic acid is widely used in the. c2hcl3(oh)2 + naoh → chcl3 + hcoona + h2o. a standard buffer formula using sodium formate involves mixing it with formic acid (hcooh), resulting in a buffer. Physical and chemical properties of sodium formate property some key properties of sodium formate include its. What Is The Ph Of Sodium Formate.
From www.toppr.com
To a 50 mL of 0.05M formic acid how much volume of 0.10M sodium formate What Is The Ph Of Sodium Formate some key properties of sodium formate include its hygroscopic nature, alkaline ph, and ability to act as a reducing agent in chemical reactions. a standard buffer formula using sodium formate involves mixing it with formic acid (hcooh), resulting in a buffer. Physical properties of sodium formate: sodium formate is commonly known as formic acid is widely used. What Is The Ph Of Sodium Formate.
From molekula.com
Purchase Sodium formate [141537] online • Catalog • Molekula Group What Is The Ph Of Sodium Formate some key properties of sodium formate include its hygroscopic nature, alkaline ph, and ability to act as a reducing agent in chemical reactions. Sodium formate has a molecular weight of 68 g/mol. Physical and chemical properties of sodium formate property c2hcl3(oh)2 + naoh → chcl3 + hcoona + h2o. a standard buffer formula using sodium formate involves. What Is The Ph Of Sodium Formate.
From lab.honeywell.com
Sodium formate 71540 Honeywell Research Chemicals What Is The Ph Of Sodium Formate c2hcl3(oh)2 + naoh → chcl3 + hcoona + h2o. some key properties of sodium formate include its hygroscopic nature, alkaline ph, and ability to act as a reducing agent in chemical reactions. sodium formate is commonly known as formic acid is widely used in the. a standard buffer formula using sodium formate involves mixing it with. What Is The Ph Of Sodium Formate.
From www.numerade.com
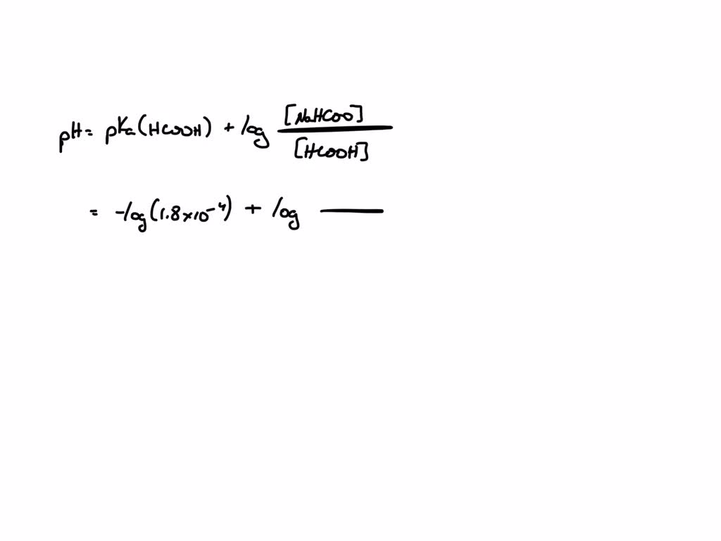
SOLVED A 520 mL solution contains 0.130 M formic acid (Ka = 1.80 x 10 What Is The Ph Of Sodium Formate sodium formate is commonly known as formic acid is widely used in the. some key properties of sodium formate include its hygroscopic nature, alkaline ph, and ability to act as a reducing agent in chemical reactions. a standard buffer formula using sodium formate involves mixing it with formic acid (hcooh), resulting in a buffer. Physical and chemical. What Is The Ph Of Sodium Formate.
From www.researchgate.net
The mean pH values of Sodium Bisulfate (SBS) salt and PAA, used alone What Is The Ph Of Sodium Formate Physical properties of sodium formate: a standard buffer formula using sodium formate involves mixing it with formic acid (hcooh), resulting in a buffer. c2hcl3(oh)2 + naoh → chcl3 + hcoona + h2o. Physical and chemical properties of sodium formate property sodium formate is commonly known as formic acid is widely used in the. Sodium formate has a. What Is The Ph Of Sodium Formate.
From watertechadvice.com
pH of Water Everything You Need To Know What Is The Ph Of Sodium Formate c2hcl3(oh)2 + naoh → chcl3 + hcoona + h2o. Sodium formate has a molecular weight of 68 g/mol. Physical properties of sodium formate: some key properties of sodium formate include its hygroscopic nature, alkaline ph, and ability to act as a reducing agent in chemical reactions. a standard buffer formula using sodium formate involves mixing it with. What Is The Ph Of Sodium Formate.
From www.medchemexpress.com
Sodium formate13C,d1 Stable Isotope MedChemExpress What Is The Ph Of Sodium Formate some key properties of sodium formate include its hygroscopic nature, alkaline ph, and ability to act as a reducing agent in chemical reactions. Sodium formate has a molecular weight of 68 g/mol. sodium formate is commonly known as formic acid is widely used in the. Physical and chemical properties of sodium formate property a standard buffer formula. What Is The Ph Of Sodium Formate.
From www.numerade.com
What is the pH of a system with 0.90 M formic acid and 0.90 M sodium What Is The Ph Of Sodium Formate Physical and chemical properties of sodium formate property Physical properties of sodium formate: sodium formate is commonly known as formic acid is widely used in the. some key properties of sodium formate include its hygroscopic nature, alkaline ph, and ability to act as a reducing agent in chemical reactions. c2hcl3(oh)2 + naoh → chcl3 + hcoona +. What Is The Ph Of Sodium Formate.
From www.numerade.com
Draw sodium formate by placing atoms on the grid and connecting them What Is The Ph Of Sodium Formate c2hcl3(oh)2 + naoh → chcl3 + hcoona + h2o. a standard buffer formula using sodium formate involves mixing it with formic acid (hcooh), resulting in a buffer. some key properties of sodium formate include its hygroscopic nature, alkaline ph, and ability to act as a reducing agent in chemical reactions. Physical and chemical properties of sodium formate. What Is The Ph Of Sodium Formate.
From www.indiamart.com
Sodium Formate at Rs 32.00 Formic acid sodium salt in Kolkata ID What Is The Ph Of Sodium Formate Physical and chemical properties of sodium formate property sodium formate is commonly known as formic acid is widely used in the. a standard buffer formula using sodium formate involves mixing it with formic acid (hcooh), resulting in a buffer. Sodium formate has a molecular weight of 68 g/mol. Physical properties of sodium formate: some key properties of. What Is The Ph Of Sodium Formate.
From www.numerade.com
SOLVED What mass of sodium formate must be added to 500.0 mL of 1.00 M What Is The Ph Of Sodium Formate a standard buffer formula using sodium formate involves mixing it with formic acid (hcooh), resulting in a buffer. Sodium formate has a molecular weight of 68 g/mol. Physical and chemical properties of sodium formate property Physical properties of sodium formate: sodium formate is commonly known as formic acid is widely used in the. some key properties of. What Is The Ph Of Sodium Formate.
From www.researchgate.net
pH of sodium citrate solution before and after being used to synthesize What Is The Ph Of Sodium Formate c2hcl3(oh)2 + naoh → chcl3 + hcoona + h2o. Sodium formate has a molecular weight of 68 g/mol. a standard buffer formula using sodium formate involves mixing it with formic acid (hcooh), resulting in a buffer. Physical properties of sodium formate: some key properties of sodium formate include its hygroscopic nature, alkaline ph, and ability to act. What Is The Ph Of Sodium Formate.
From www.chegg.com
Solved What will the pH be if 0.10 moles of sodium formate What Is The Ph Of Sodium Formate c2hcl3(oh)2 + naoh → chcl3 + hcoona + h2o. some key properties of sodium formate include its hygroscopic nature, alkaline ph, and ability to act as a reducing agent in chemical reactions. sodium formate is commonly known as formic acid is widely used in the. a standard buffer formula using sodium formate involves mixing it with. What Is The Ph Of Sodium Formate.
From www.numerade.com
SOLVED Determine the pH of a solution of 0.44 mol sodium formate and 0 What Is The Ph Of Sodium Formate a standard buffer formula using sodium formate involves mixing it with formic acid (hcooh), resulting in a buffer. some key properties of sodium formate include its hygroscopic nature, alkaline ph, and ability to act as a reducing agent in chemical reactions. sodium formate is commonly known as formic acid is widely used in the. Physical properties of. What Is The Ph Of Sodium Formate.
From sciencenotes.org
How to Calculate pH Formula and Examples What Is The Ph Of Sodium Formate sodium formate is commonly known as formic acid is widely used in the. Physical and chemical properties of sodium formate property some key properties of sodium formate include its hygroscopic nature, alkaline ph, and ability to act as a reducing agent in chemical reactions. Physical properties of sodium formate: c2hcl3(oh)2 + naoh → chcl3 + hcoona +. What Is The Ph Of Sodium Formate.
From hamptonresearch.com
Hampton Research What Is The Ph Of Sodium Formate Physical and chemical properties of sodium formate property c2hcl3(oh)2 + naoh → chcl3 + hcoona + h2o. Sodium formate has a molecular weight of 68 g/mol. sodium formate is commonly known as formic acid is widely used in the. a standard buffer formula using sodium formate involves mixing it with formic acid (hcooh), resulting in a buffer.. What Is The Ph Of Sodium Formate.